Abstract
The Global Positioning System has become an integral part of our lives. It is used in many applications such as agriculture, construction, exploration, surveying, navigation, and other mission-critical applications.
Today, every smartphone has a GPS receiver, which allows us to build routes and navigate the terrain. In this article, we will consider the principle of GPS operation and the components of the GPS signal, using which the receiver calculates its location.
Here are the sections that will be covered: Introduction to GPS, How GPS works, GPS Signal Structure, Advantages and disadvantages of GPS signal, and how can solutions from Inertial Labs help compensate for the disadvantages of GPS. The conclusion will summarize the benefits of using GPS and how Inertial Labs™ solutions can help you navigate without a GPS signal.
Section 1. Introduction to GPS
The Global Positioning System (GPS) is an American global positioning system that measures distance time and determines the position in the WGS 84 world coordinate system [1]. It allows you to choose the location anywhere on Earth (excluding the circumpolar regions) and near-Earth space in almost any weather.
The system’s main principle is to determine the location by measuring the moments of reception of a synchronized signal from navigation satellites by the consumer’s antenna (GPS receiver) [2].
The GPS project was launched in 1973 as a replacement for previous navigation systems to overcome the limitations of previous solutions [1, 3]. Although satellite navigation dates to the 1950s, it was used for military intelligence needs. In 1978, the first satellite, NAVSTAR 1, was launched; by 1985, 11 satellites had already been launched. Finally, in 1995, the system consisted of 24 satellites, which provided global coverage. It is worth saying that today, there are more satellites because 24 satellites ensure the full operability of the system anywhere in the world. Still, they cannot always provide reliable reception and reasonable position calculation. Therefore, to increase the accuracy of positioning and reserve in case of failures, the total number of satellites in orbit is maintained at a more significant number – 32. In 2000, the selective availability feature was disabled, which intentionally reduced the accuracy of civilian GPS signals. This has led to a significant improvement in the accuracy of GPS technology for both military and civilian users. In 2016, the U.S. Air Force launched a new generation of GPS satellites called GPS III [4]. These satellites offer improved accuracy, better protection against interference, and advanced security features.
GPS plays a crucial role in today’s world due to its ability to determine the exact location of objects. Here are a few of its main applications:
- Navigation and transport. GPS is used in cars, airplanes, and marine vessels for efficient navigation, which reduces travel time and improves safety.
- Mobile apps such as maps and taxi services use GPS to provide location information, making everyday tasks easier.
- Sports and fitness. Many athletes use GPS devices to track their training, distances, and routes.
- GPS aids in precision farming, allowing farmers to optimize resource allocation and increase yields.
- GPS is used in geodesy, ecology, and meteorology to monitor environmental changes and study natural processes.
- Security and emergency services. GPS helps emergency services quickly find and respond to situations that require intervention.
- Internet of Things. Built-in GPS modules in IoT devices allow you to track and control them remotely.
Thus, in the modern world, satellite navigation has become an integral part of our lives. Now, let’s look at how GPS works.
Section 2. How GPS works
GPS consists of three main segments:
- space segment
- control segment
- user segment
GPS satellites broadcast a signal from space, and all GPS receivers use this signal to calculate their position in space from three coordinates in real time.
The basic idea is that if we know the distances to three points, we can determine our location relative to them. This navigation method, called “trilateration, ” is based on measuring the distance difference between two or more stations with known coordinates that transmit signals at a specific time [5]. Simply put, it is a process in which three precise distance measurements from known satellites allow the location in three-dimensional space to be calculated, Figure 1.

Figure 1. The principle of GPS navigation.
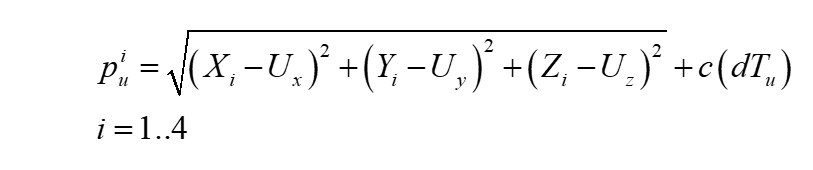
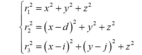
Mathematically, this method is expressed as follows. Equation (1) is the equation for three spheres.
![]() |
(1) |
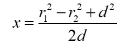
To find the user’s point (X, Y, Z) coordinates, we need to subtract the second equation from the first, so we find X (2).
![]() |
(2) |
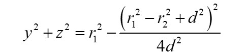
Assuming that the first two spheres intersect at more than one point, then substitute (2) into the equation of the first sphere, and we get the equation of the circle, which is the desired intersection of the first two spheres (3).
![]() |
(3) |
Substitute (3) into the equation for the third sphere and find Y (4).
![]() |
(4) |
Knowing the X and Y coordinates, we find Z (5).
![]() |
(5) |
As you can see, several solutions exist, so at least four satellites are used for navigation. A fourth satellite is needed to eliminate the uncertainty when using three satellites. In addition, it helps to compensate for possible errors in the synchronization of the clock of the navigation receiver. Since the receiver does not have an accurate clock, the presence of a fourth satellite allows for a more precise determination of the time and, respectively, the distance to satellites, Figure 2 [2].

Figure 2. Single point positioning

Three pseudo-bands provide enough data to solve the Ux, Uy, and Uz problems, and the fourth pseudo-band provides information to solve the clock offset problem of the dTu receiver.
In addition to satellites, ground stations are also used [6]. The so-called control segment, Figure 3.

Figure 3. GPS Control Segment.
They help correct satellite data, consider atmospheric and other errors, and improve navigation accuracy. The stations monitor the status of satellites and their orbits and provide updates on the GPS status. They can also transmit corrections for local errors, allowing users (e.g., in agriculture or surveying) to obtain more accurate coordinates. They collect data for research in geodesy, geophysics, and other sciences, which allows you to track changes in the earth’s surface and conduct other studies.
A user segment consists of millions of GPS receivers owned by ordinary users.
Section 3. GPS Signal Structure
Each satellite in orbit transmits a signal on at least two carrier frequencies: L1, at 1575.42 MHz, and L2, at 1227.6 MHz. Newer satellites also broadcast on L5 at 1176.45 MHz [7].
L1 is the fundamental frequency for civilian users. It transmits navigation data and a signal to determine the location. Used by most standard GPS devices. The L1 transmits the C/A (Coarse/Acquisition) code and the P-code (Precise code) used by the military.
L2 is used mainly by the military and for more accurate applications. In addition to the C code, P-code is also transmitted, but it is more commonly used in military applications and some high-end civilian systems. This frequency allows for improved accuracy in interference, as it can be used to use the differential navigation method [8].
It is worth noting that the presence of two frequencies transmitted from one satellite makes it possible to simulate and reduce the ionospheric delay error for this satellite, relying only on measurements of the pseudorange of the code phase. With one civil C/A code on L1, there was no way to eliminate the second largest source of error in this position, ionospheric delay. Now, with two civil signals, one on L1 (C/A) and one on L2 (L2C), it becomes possible to efficiently simulate the ionosphere using the phase code. The L2C signal also mitigates the effect of local interference. This increased stability means improved tracking under challenging areas such as forests, near buildings, and urban canyons.
L5 is a new frequency designed for mission-critical applications (e.g., aviation). Provides improved signal accuracy and reliability and better immunity to interference. An L5 signal is 3 decibels more potent than a civilian signal and has resources ten times wider. Unlike L2C, L5 users benefit from being in the band the International Telecommunication Union allocated for air navigation services worldwide. Therefore, it is not subject to interference from ground-based navigation aids and is available in aviation.
Now, let’s figure out what C/A code and P-code mean. Signals are modulated by two types of pseudorandom sequences (PRNs): C/A code and P-code. C/A (Clear access) is a publicly available code. It is with this code that all civilian GPS receivers work. P (Protected/precise) code is used in closed systems. P-code-modulated signals are transmitted at two frequencies: L1 and L2. The C/A code is transmitted only on the L1 frequency, Figure 4.

Figure 4. Signal transmission.
The PRN code allows you to distinguish signals from different satellites. This provides an unambiguous identification of the signal source.
In addition to pseudo-range codes, the receiver must know the time and position of each active satellite. GPS encodes this information into a navigation message and modulates it into range codes C/A and P(Y) at a rate of 50 bit/s. The navigation message includes the following information:
- Satellite almanac data. Each satellite transmits orbital data, known as an almanac, which allows the user to approximate the location of each satellite in the GPS at any given time. This data is not accurate enough to determine the location, but it can be stored in the receiver and remain up to date for several months. Their primary purpose is to identify visible satellites at a given position so that the receiver can quickly find them when turned on. The almanac can also help estimate the expected Doppler shift to speed up the capture of satellite signals.
- Ephemeris data from satellites. This data is like an almanac but allows for a more accurate determination of the satellite’s position, which is necessary to convert the signal delay into an estimate of the user’s position. Unlike almanacs, ephemeris data are transmitted only by satellite and are valid only for a few hours.
- Signal temporal synchronization data. The data stream includes timestamps that allow you to set the transmission time of specific points on the GPS signal. This information is necessary to determine the delay in transmitting the signal from the satellite to the user, which is used to measure the distance.
- Data on ionospheric delay. Distance measurement errors due to ionospheric effects can be partially compensated using ionospheric delay estimates transmitted in the data stream.
- Satellite status message. The data stream also contains information about the current state of the satellite so that the receiver can ignore it if it is not working correctly.

Figure 5. Navigation message.
The first two words in each subframe are telemetry (TLM) and the transmit word (HOW). The first 8 bits of the telemetry word contain the synchronization information the receiver needs to integrate and decode the NAV message. The transmit word includes a truncated Z-counter, which is one of the critical units of GPS time. This counter increases with the start of each new subframe, allowing the receiver to determine when the next data subframe starts. The information in subframes 1, 2, and 3 is repeated every 30 seconds, while the data in subframes 4 and 5 changes. These two subframes contain 25 subcommutable pages, each carrying unique information, so the receiver must collect all 25 pages to get the total data. The receiver receives the first page after five subframes, the second page after ten subframes, and so on. Since subframes 4 and 5 contain information about all satellites, the receiver only needs to fix one satellite to obtain almanac data for the entire constellation.
Now, let’s look at the advantages and disadvantages of a GPS signal.
Section 4. Advantages and disadvantages of GPS signal
Here are the main advantages and disadvantages of a GPS signal:
Advantages:
- Accuracy. The GPS signal provides high location accuracy, usually within a few meters. When using differential systems, the accuracy can reach centimeters.
- Global coverage. GPS is available almost everywhere, allowing users to obtain coordinates in any condition (if there are no obstacles).
- Reliability. The GPS is fault-tolerant and provides real-time information.
- Multifunctionality. GPS is used in various fields, from car and aviation navigation to surveying and agriculture.
- Free of charge. Access to GPS signals is free for users.
Disadvantages:
- Sensitivity to interference. GPS signals can be subject to interference (jamming). It is the process of intentionally using a transmitting radio frequency device to block or interfere with GPS signals. Once the interference level exceeds a specific limit, the GPS signal will be lost in the interfering signal, Figure 6 [9].

Figure 6. Jamming.
- Dependence on satellite visibility. A line of sight of at least four satellites is required for accurate positioning. This can be difficult in cities with tall buildings or in dense forests.
- Influence of space weather on accuracy. This is mainly due to the state of the ionosphere. Although all modern receivers have compensation for the influence of the ionosphere, in case of solid disturbances, for example, due to geomagnetic storms, the accuracy of the location can deteriorate significantly [10].
- Vulnerability to spoofing. Spoofing replaces the satellite signal with a false signal, causing the receiver to give false positioning. In other words, the spoofing will make the target receiver appear in a different location, Figure 7 [9].

Figure 7. Spoofing.
As can be seen, the main disadvantages are associated with the external influence of artificial nature. The easiest way to deal with interference is to integrate GPS with an inertial navigation system (INS) [8]. Next, let’s examine how INS helps when the GPS signal becomes unavailable.
Section 5. How can solutions from Inertial Labs help compensate for the disadvantages of GPS
Without a GPS signal, INS starts to operate in autonomous mode. In this mode, the orientation is determined by the Inertial Measurement Unit (IMU) [11], Figure 8, as well as additional sources of information, such as an odometer or barometer. Kalman filter is used to improve the accuracy [8].
![]() |
![]() |
Figure 8. Specifications of the IMU-FI-200T.
Kalman filtering implements the interaction between GPS and IMU. This interaction is because the error characteristics of both systems are complementary. Short-term IMU positioning errors are minor but can add up significantly over time. On the other hand, GPS errors are less accurate in the short term but do not increase over time. The Kalman filter can use these features to create an integrated navigation system that is more efficient than each subsystem individually (GPS or IMU). By combining the error statistics of both systems, it is possible to connect a system with a positioning uncertainty of tens of meters (GPS) with a system where the uncertainty increases at a rate of kilometers per hour (IMU) and achieve a total uncertainty of a few centimeters (using differential GPS, DGPS) or within meters, Figure 9.

Figure 9. Self-correcting algorithms for accurate navigational and orientation calculations.
A vital goal of the Kalman filter is to aggregate data from GPS and INS to track changes in sensor parameters in INS. This allows INS to provide better navigation accuracy when the GPS signal may be lost, and improved position and speed estimates from INS help restore the GPS signal more quickly when it becomes available again.
The newest Inertial Navigation Systems (INS) from Inertial Labs, the INS-FI and INS-DM-FI, are GPS-aided systems that incorporate several integrated technologies: FOG IMU (Fiber Optic Gyroscope Inertial Measurement Unit), AHRS (Attitude and Heading Reference System), INS (Inertial Navigation System), and an Embedded ADC (Air Data Computer) [12, 13]. These technologies work together to provide highly accurate and reliable navigation and orientation data, even in challenging environments, Figure 10.

Figure 10. The Inertial Labs GPS-Aided Inertial Navigation System INS-DM-FI and INS-FI.
It contains a real-time spoofing detection unit that employs some of the most effective detection metrics. These metrics include input power analysis by monitoring the gain of the automatic gain control module, structural power content analysis based on the filter outputs, signal quality monitoring to monitor the peak quality affected by multipath signals, and clock monitoring using spoofing signals from a single-antenna source based on the position solution of a moving receiver. These detection metric outputs are fed to an onboard central spoofing detection unit, which decides whether the unit is under a spoofing attack every two seconds. The spoofing detection unit minimizes false detection likelihood from the presence of jamming and multipath signals while identifying spoofing attacks with a high degree of certainty.
Conclusion
GPS is used worldwide for accurate positioning, navigation, and time measurement. The use of GPS in many areas, for example, machine control, precision agriculture, construction, survey, and ground mapping, is based on the need for accurate location, reliable and safe navigation, surveying and mapping of territories, tracking and monitoring the movement of an object or determining the time.
The principle of GPS operation is quite simple: determining the location by measuring the time when the receiver’s antenna receives the synchronized signal from navigation satellites. But despite its availability, accuracy, and popularity, this technology has drawbacks related to the susceptibility to the influence of external factors such as jamming and spoofing on the signal.
In this regard, Inertial Labs has developed the newest Inertial Navigation System, which has a real-time spoofing detection unit that employs some of the most effective detection metrics. With high-precision fiber-optic gyroscopes and extensive support for external data such as an odometer, the systems will provide the user with accurate navigation data without a GPS signal.
Inertial Labs™ distinguishes itself through relentless innovation, a commitment to quality, and unparalleled customer support. The company’s investment in research and development drives continuous advancements in sensor technology, algorithm optimization, and system design. This unwavering focus on innovation ensures that Inertial Labs™ remains a leader in aided inertial navigation systems.
Furthermore, Inertial Labs™ prioritizes customer satisfaction, offering extensive technical support and customization services to meet its clientele’s varied demands. This blend of technical prowess, cutting-edge products, and customer-focused services solidifies Inertial Labs’ status as a trusted partner in advanced navigation solutions.
References
[1] Wikipedia Contributors. “Global Positioning System.” Wikipedia, Wikimedia Foundation, 14 Feb. 2019, en.wikipedia.org/wiki/Global_Positioning_System.
[2] Jan Van Sickle. GPS for Land Surveyors. Boca Raton, Crc Press, Taylor & Francis Group, 2015.
[3] “Global Positioning System (GPS) | History Timeline.” History Timelines, 2019, historytimelines.co/timeline/global-positioning-system-gps. Accessed 23 Sept. 2024.
[4] “GPS Block III.” Wikipedia, 11 July 2020, en.wikipedia.org/wiki/GPS_Block_III.
[5] “Trilateration.” Wikipedia, 1 Feb. 2023, en.wikipedia.org/wiki/Trilateration.
[6] “GPS.gov: Control Segment.” Gps.gov, 2019, www.gps.gov/systems/gps/control/.
[7] Wikipedia Contributors. “GPS Signals.” Wikipedia, Wikimedia Foundation, 12 Sept. 2024, en.wikipedia.org/wiki/GPS_signals#Legacy_GPS_signals. Accessed 23 Sept. 2024.
[8] Grewal, Mohinder S, et al. Global Positioning Systems, Inertial Navigation, and Integration. John Wiley & Sons, 5 Mar. 2007.
[9] “Understanding the Difference between Anti-Spoofing and Anti-Jamming.” Novatel.com, novatel.com/tech-talk/velocity-magazine/velocity-2013/understanding-the-difference-between-anti-spoofing-and-anti-jamming#:~:text=Generally%20speaking%2C%20adversaries%20may%20attempt.
[10] “Space Weather and GPS Systems | NOAA / NWS Space Weather Prediction Center.” Www.swpc.noaa.gov, www.swpc.noaa.gov/impacts/space-weather-and-gps-systems.
[11] “HIGH PERFORMANCE FIBER-OPTIC GYROSCOPES (FOG) INERTIAL MEASUREMENT UNITS IMU-FI-200T.” https://inertiallabs.com/wp-content/uploads/2024/08/IMU-FI-200T_Datasheet_rev-1.5_Aug_2024.pdf
[12] “GPS-Aided INS-FI Datasheet Revision 1.5 FOG IMU-BASED GPS-AIDED INERTIAL NAVIGATION SYSTEM INS-FI.” https://inertiallabs.com/wp-content/uploads/2024/08/INS-FI_Datasheet_rev-1.5_Aug_2024.pdf
[13] GPS-Aided INS-DM-FI Datasheet Revision 1.5 FOG IMU-BASED AHRS and INERTIAL NAVIGATION SYSTEM INS-DM-FI. https://inertiallabs.com/wp-content/uploads/2024/09/INS-DM-FI_Datasheet_rev1.5_August1_2024.pdf






